- Transformerの新しいアプローチ「Lightning Attention」の提案による計算効率改善
- 極大量のトークンを処理できるMiniMax-01シリーズの優れた性能
- RLHFを用いた学習でモデルの応答品質と一貫性の向上

本記事で使用している画像は論文中の図表、またはそれを参考に作成した画像を使用しております。
本論文の概要
本論文では、大規模な基盤モデル「MiniMax-01」シリーズを紹介し、特にTransformerベースのアテンション機構における新しいアプローチ「Lightning Attention」の提案と、その有効性を示しました。従来のソフトマックスアテンションに代わるLightning Attentionを採用することで、大規模言語モデルにおける計算効率を大幅に向上させながら、性能をさらに高めています。
提案されたモデルでは、「MiniMax-Text-01」と「MiniMax-VL-01」という2つの主要モデルを用意しました。MiniMax-Text-01は、1兆トークン規模のデータで学習され、ダウンストリームタスクにおいてもハイパフォーマンスを実現しました。また、MiniMax-VL-01はビジョン・言語対応モデルで、多モーダルデータの処理に対応しています。
本研究の主な革新点としてLightning Attentionは、線形計算量を可能にし、高いGPU利用率を達成しています。また、このアプローチにより大規模モデルでの長いコンテキスト処理能力が大幅に拡張され、従来のアーキテクチャでは困難だった8192トークンを超える文脈を扱えるようになりました。加えて、スケーリング法則に基づいた最適化により、モデルサイズとデータセットサイズのバランスを調整しつつ、計算リソースの効率的な活用を実現しました。
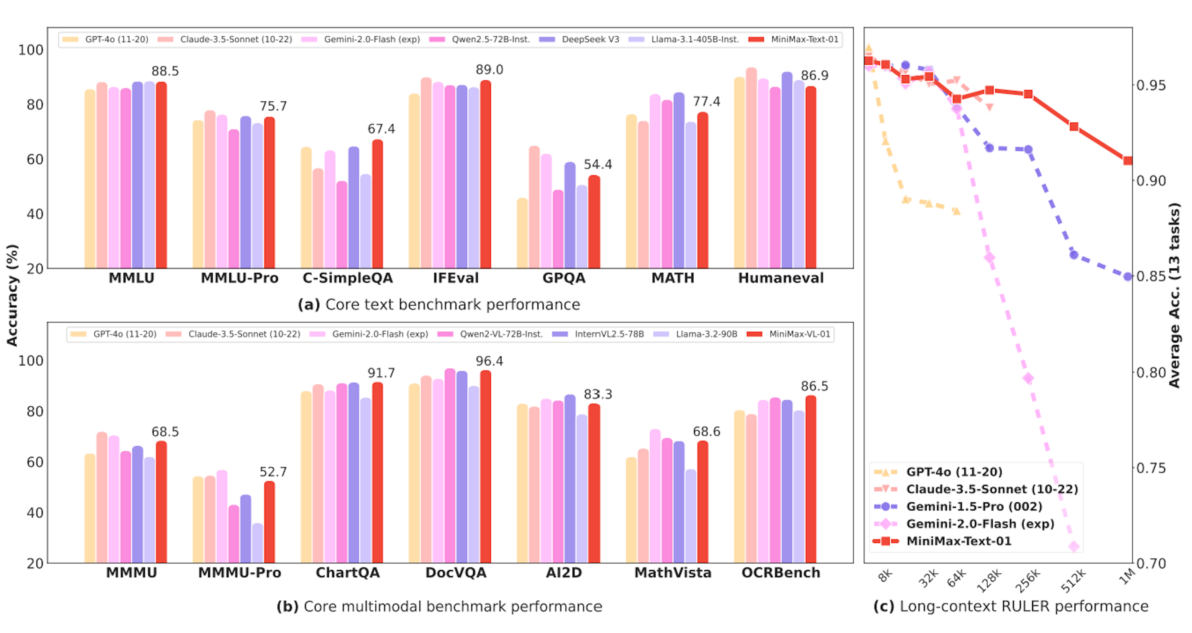
実験では、計算効率や速度の面でFlashAttentionなどの従来手法に対して優れたパフォーマンスを示し、ダウンストリームタスクやベンチマークではトップレベルの結果を記録しました。さらに、Reinforcement Learning with Human Feedback(RLHF)を活用した学習により、モデルの応答の品質と一貫性を強化しました。その結果、本モデルは、文脈理解や情報検索タスク、そして多様なリアルワールドシナリオでの性能で卓越した成果を挙げています。
図表の解説

図3は、MiniMax-Text-01のアーキテクチャを示しています。このモデルは、効率的な計算を実現するためにLightning AttentionとMoE(Mixture of Experts)を組み合わせています。Lightning Attentionは、線形複雑性を持つ注意メカニズムで、長大な文脈を効率的に処理できます。図の上部には、RMSNormとMoEが配置されており、これが入力の調整と専門家の選択を行います。中央の部分には複数のFFN(Feed-Forward Network)があり、Routerによって選択された2つの専門家のみが活性化されます。下部にはRMSNormとLightning Attentionがあり、これにより計算効率がさらに向上します。これらの組み合わせで、MiniMax-Text-01は非常に長いテキストを効率的に処理できるようになっています。

この表は、異なる注意機構のアーキテクチャにおけるモデルパラメータとFLOPs(浮動小数点演算の回数)を比較しています。3つのアーキテクチャ、ソフトマックス注意、ライトニング注意、そしてハイブリッド・ライトニングが示されています。 ソフトマックス注意は、計算資源が豊富な場合に最も多く使用される伝統的な方法です。一方、ライトニング注意は、線形計算により計算効率を高めた方法です。ハイブリッド・ライトニングは、両者を組み合わせて最適化されています。 各アーキテクチャは、モデルの計算負荷やリソース効率を測るために、FLOPsを示しています。これらの数値は、モデルの効率や処理能力の指標として重要です。

図11は、リングアテンションとVarlenリングアテンションの比較を示しています。(a)は、リングアテンションでデータパッキングを行わない場合を示しています。この方法では、因果(causal)と非因果(non-causal)の計算が別々に行われます。(b)では、Varlenリングアテンションを用いて、異なる長さの3つのサンプルをパッキングしています。この手法は、因果および非因果計算が一体化されて効率的に行われ、多様なサンプル長にも対応できるようになっています。これにより、計算の冗長性を軽減し、リソースの効率的な利用が可能となります。この違いは、複数のサンプルを効率よく処理するための重要な改善点です。

この図は、ソフトマックスアテンション(左)と線形アテンション(右)の計算を示しています。ソフトマックスアテンションは従来の方法で、入力長が \(N\) 、特徴次元が \(d\) です。計算複雑性は \(O(N^2d)\) となります。一方、線形アテンションは計算の効率化を図り、時間と空間の複雑性を \(O(Nd^2)\) に減少させています。 図の左側ではソフトマックスアテンションのプロセスが、右側では線形アテンションのプロセスが詳細に描かれており、計算効率に関する比較ができます。このように、線形アテンションは長いコンテクストを効率的に処理するために進化した手法であり、これにより膨大な数のトークンを効果的に扱うことが可能になるとされています。これは本論文で提案されているMiniMaxモデルが、多くのトークンを扱う能力を大幅に向上させている理由と一致します。

図2は、さまざまなモデルのコンテキストウィンドウ長に対するプリフィル処理の遅延を示しています。MiniMax-Text-01とLlama3-70Bの2つのモデルは、H800 GPU上でテストされ、他のモデルと比較されています。 主要なポイントは、MiniMax-Text-01が長大なコンテキストにおいて優れたパフォーマンスを示していることです。図では、コンテキストウィンドウの長さが増加するにつれて、遅延がどのように変化するかが示されており、特にMiniMax-Text-01が広い範囲で効率的な動作を保つことが分かります。これにより、長い文脈を扱う際の効果的な選択肢であることが強調されています。

この図は、異なるモデルのトレーニング効率を視覚化しています。左のグラフは、計算リソースと損失の関係を示しており、計算量が増えると損失が減少する傾向があります。中央のグラフは、計算量に対するモデルの最適なサイズ(パラメータ数)を示しており、右のグラフは、計算量に対するトークン数の関係を示しています。 この記事の文脈では、モデルのサイズとトレーニングデータ量を計算予算に基づいて最適化する方法が強調されています。図は、ソフトマックスアテンション、ライトニングアテンション、ハイブリッドライトニングアテンションの3種の異なるアプローチを比較しており、ハイブリッドアプローチが他のアプローチより効率的であることが示唆されています。

この表は、異なる注意機構を使ったモデルのスケーリング則を示しています。具体的には、コンピュテーショナルバジェット(C)の関数としての損失(L)、最適なモデルサイズ(N_opt)、および最適なデータセットサイズ(D_opt)の関係を表しています。「Hybrid-lightning」モデルが他のモデルと比べて、同じ予算内でより多くのパラメータとトークンを使用するが、より低い損失を達成することが示されています。各行の数式で、それぞれの注意タイプの特性が算出されており、特に「Hybrid-lightning」は、損失がより低く、効率的であることを強調しています。これは、長い文脈をより効果的に扱うことができるモデルの開発に役立つと考えられます。

この図は、巨大な言語モデルの訓練における「Mixture of Experts (MoE)」モデルと「Dense」モデルの性能比較を示しています。具体的には、2B-MoEと7B-Denseの2つのモデルが、HellaSwag、WinoGrande、Natural Questions、PIQA、TriviaQAといった複数のベンチマークでの性能を示しています。 ここで、ZFlopsは計算量を示しており、グラフはこれに対する異なるモデルの性能(メトリック)を示しています。橙色の線はMoEモデル、青色の線はDenseモデルの結果を表します。各図では、MoEモデルが通常、少ない計算量でDenseモデルに匹敵するかそれ以上の性能を発揮していることが見て取れます。結果として、MoEアプローチは計算効率を維持しつつ高い性能を達成することを示しています。

